Work Readiness Shaped by Family, Information Systems, and Organizational Activeness
Kesiapan Kerja Dipengaruhi oleh Keluarga, Sistem Informasi, dan Aktivitas Organisasi
DOI:
https://doi.org/10.21070/jims.v7i1.1625Keywords:
Family Environment, Information Systems, Organizational Activeness, Work Readiness, Higher EducationAbstract
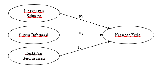
General background: Higher education institutions in Indonesia are challenged to produce competent graduates who can compete in the global workforce. Specific background: At Muhammadiyah University of Sidoarjo, tracer study data show that the graduation rate remains below 50%, largely due to suboptimal work readiness among students. Knowledge gap: While previous studies address factors influencing employability, limited attention has been given to the simultaneous role of the family environment, information systems, and organizational activeness in shaping work readiness. Aims: This study investigates the contribution of these three factors to the work readiness of management students. Results: Using a quantitative approach with 317 active students and multiple linear regression analysis through SPSS, the findings demonstrate that the family environment, information systems, and organizational activeness collectively and significantly shape student work readiness. Novelty: The study integrates academic, social, and technological dimensions in one model, offering a holistic perspective on graduate preparedness. Implications: The results provide insights for universities to strengthen family engagement, optimize information systems, and encourage organizational participation as strategies to enhance student readiness for employment.
Highlights:
-
Graduation rate below 50% linked to weak work readiness.
-
Three factors collectively determine student readiness for employment.
-
Integrated approach provides strategic insights for higher education.
Keywords: Family Environment; Information Systems; Organizational Activeness; Work Readiness; Higher Education
References
Azhar, Z., Jalaludin, D., Ghani, E. K., Ramayah, T., & Nelson, S. P. (2023). Learning agility quotient and work readiness of graduating accounting students: Embracing the dynamics of IR4.0. Accounting Education, 16(1), 1–24. https://doi.org/10.1080/09639284.2023.2211567
Hamilton, K., Morrissey, S. A., Farrell, L. J., Ellu, M. C., O’Donovan, A., Weinbrecht, T., & O’Connor, E. L. (2018). Increasing psychological literacy and work readiness of Australian psychology undergraduates through a capstone and work-integrated learning experience: Current issues and what needs to be done. Australian Psychologist, 53(2), 151–160. https://doi.org/10.1111/ap.12309
Mutoharoh, A. K., & Rahmaningtyas, W. (2019). Pengaruh praktik kerja industri, lingkungan keluarga, bimbingan karier dan motivasi kerja terhadap kesiapan kerja. SAINS: Jurnal Manajemen dan Bisnis, 12(1), 18–24. https://doi.org/10.35448/jmb.v12i1.6241
Muhayati, S. (2021). Strategi pembelajaran pendidikan agama Islam di rumah selama pandemi Covid-19. CV AE Media Grafika.
Rohman, M., Syafrudie, H. A., Sudjimat, D. A., Sugandi, R. M., & Nurhadi, D. (2019). The contribution of social media use, creativity, and entrepreneurial interest to vocational high school students’ entrepreneurial readiness. International Journal of Innovation, Creativity and Change, 8(1), 195–208.
Nurussyifa, R., & Listiadi, A. (2021). Pengaruh mata diklat produktif akuntansi, kompetensi siswa, dan lingkungan keluarga terhadap kesiapan kerja melalui mediasi efikasi diri. Jurnal Pendidikan Ekonomi Undiksha, 13(1), 164–177. https://doi.org/10.23887/jjpe.v13i1.33011
Ridwan, M., et al. (2021). Sistem informasi manajemen. CV Widina Media Utama.
Sihotang, F. H., & Samuel, D. (2019). Pengaruh prestasi belajar, penguasaan teknologi informasi dan pengalaman organisasi terhadap kesiapan kerja. Ecodunamika: Jurnal Pendidikan Ekonomi, 4(2), 1–9.
Rafella, L., & Soebagio, E. C. (2019). Analisa pengaruh kesiapan teknologi terhadap penerimaan teknologi pada karyawan restoran di Surabaya. Jurnal Hospitality dan Manajemen Jasa, 7(2), 34–41.
Alexandro, R., Putri, W. U., & Hariatama, F. (2022). Pengaruh keaktifan berorganisasi terhadap prestasi akademik mahasiswa program studi pendidikan ekonomi FKIP UPR. Jurnal Ilmiah Kanderang Tingang, 13(1), 38–50. https://doi.org/10.37304/jikt.v13i1.147
Carsel, S. (2020). Budaya akademik dan kemahasiswaan. Uwais Inspirasi Indonesia.
Nasution, R., Syofyan, R., & Marna, J. (2022). Pengaruh efikasi diri, keaktifan berorganisasi, lingkungan keluarga dan locus of control terhadap kesiapan kerja mahasiswa Universitas Negeri Padang di masa pandemi Covid-19. Jurnal Ecogen, 5(3), 474–486. https://doi.org/10.24036/jmpe.v5i3.13030
Irmayanti, I., Nuraina, E., & Styaningrum, F. (2020). Pengaruh keaktifan mahasiswa dalam berorganisasi terhadap kesiapan kerja dengan soft skill sebagai variabel intervening. Review of Accounting and Business, 1(1), 54–66. https://doi.org/10.52250/reas.v1i1.335
Siregar, E. (2017). Metode penelitian kuantitatif dilengkapi dengan perbandingan perhitungan manual & SPSS. Kencana.
Sudirjo, E., & Alif, M. N. (2021). Komunikasi dan interaksi sosial anak. CV Salam Insan Mulia.
Nanyangwe, J., & Phiri, J. (2021). The influence of marketing strategies on growth and sustainability in the original equipment manufacturing industry. Open Journal of Business and Management, 9(3), 1446–1461. https://doi.org/10.4236/ojbm.2021.93077
Lestari, D., Renaningtyas, R., Wahyudin, A., & Khafid, M. (2021). The effect of entrepreneurial knowledge, industrial work practices (internship), and family environment on entrepreneurial readiness through self-efficacy. Journal of Economic Education, 10(2), 173–184.
Prehanto, D. R. (2020). Buku ajar konsep sistem informasi. Scopindo Media Pustaka.
Anggraeni, E. Y., & Irviani, R. (2017). Pengantar sistem informasi. CV Andi Offset.
Meiryani, Siagian, P., Puspokusumo, R. A. A. W., & Lusianah. (2020). Decision making and management information systems. Journal of Critical Reviews, 7(7), 320–325. https://doi.org/10.31838/jcr.07.07.52
Baskerville, R. L., Davison, R. M., Kaul, M., Malaurent, J., & Wong, L. H. M. (2022). Information systems as a nexus of information technology systems: A new view of information systems practice. Journal of Information Technology, 37(4), 387–406. https://doi.org/10.1177/02683962221108757
Çelik, K., & Ayaz, A. (2022). Validation of the Delone and Mclean information systems success model: A study on student information system. Education and Information Technologies, 27(4), 1–19. https://doi.org/10.1007/s10639-021-10798-4
Aswat, I., Hannani, S., Tifany, Windari, R., & Wulandari, L. P. (2023). Orbit organisasi kemahasiswaan. Lakeisha.
Good, J. R. L., Halinski, M., & Boekhorst, J. A. (2022). Organizational social activities and knowledge management behaviors: An affective events perspective. Human Resource Management, 62(4), 413–427. https://doi.org/10.1002/hrm.22109
Sohilait, I., Manoppo, F. P., & Memah, M. F. (2019). Hubungan keaktifan berorganisasi dan motivasi belajar dengan prestasi belajar mahasiswa angkatan 2016 Fakultas Kedokteran Universitas Sam Ratulangi. Jurnal Medik dan Rehabilitasi (JMR), 1(3), 1–18.
Nurmalasari, R., Sutadji, E., Yoto, & Marsono. (2020). Urgensi sinergi lembaga pendidikan kejuruan dan industri di era merdeka belajar. Media Nusa Creative.
Danumiharja, M. (2014). Profesi tenaga kependidikan. Deepublish.
Orr, P., Forsyth, L., Caballero, C., Rosenberg, C., & Walker, A. (2023). A systematic review of Australian higher education students’ and graduates’ work readiness. Higher Education Research & Development, 13(4), 1–18. https://doi.org/10.1080/07294360.2023.2192465
Ghozali, I. (2018). Aplikasi analisis multivariate dengan program SPSS. Undip Press.
Sugiyono. (2017). Metode penelitian pendidikan: Pendekatan kuantitatif, kualitatif dan R&D (23rd ed.). Alfabeta.
Santoso, S. (2018). Mahir statistik multivariat dengan SPSS. Elex Media Komputindo.
Mujayanti, A., & Latifah, L. (2022). Peran efikasi diri dalam memediasi lingkungan keluarga dan PLP terhadap kesiapan menjadi guru. Measurement in Educational Research (Meter), 2(2), 80–91. https://doi.org/10.33292/meter.v2i2.185
Idris, A. R., & Faslah, R. (2022). The influence of industrial work practices, family environment and motivation on work readiness. Jurnal Pendidikan Ekonomi, Perkantoran, dan Akuntansi, 3(3), 27–42
Downloads
Published
How to Cite
Issue
Section
License
Copyright (c) 2025 Deshiamiar Rosa, Sumartik

This work is licensed under a Creative Commons Attribution 4.0 International License.
Authors retain copyright and grant the journal right of first publication with the work simultaneously licensed under a Creative Commons Attribution 4.0 International License that allows others to share the work with an acknowledgement of the work's authorship and initial publication in this journal.


